에너지관리기사 실기 필답유형(증발량)
h2 = h'+(h"-h')x
h2: 습포화증기 엔탈피[kJ/kg] h': 포화수 엔탈피 [kJ/kg] h":포화증기 엔탈피 [kJ/kg] x: 건조도




기출
[보기]의 조건과 같은 상태로 운전되는 보일러의 상당증발량[kg/h]을 계산하시오.
보기 : 발생증기량 : 2000kg/h , 급수온도 20℃ 상태의 엔탈피 : 83.96 kJ/kg , 발생증기 엔탈피 : 2860.5 kJ/kg
1기압, 100 ℃ 상태의 증발잠열 : 2257 kJ/kg


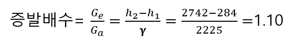
100kPa에서 발생증기량은 10kg/s, 포화수 엔탈피 420KJ/Kg, 포화증기 엔탈피 3000KJ/kg, 증기의 건도가 0.9이다. 물의 증발잠열이 2225 KJ/kg일 때 증발계수를 계산하시오(단, 급수 엔탈피는 284 KJ/kg 이다.)
=> 습포화증기 엔탈피 h2= h'+(h"-h')x = 420+(3000-420)x0.9 = 2742 kJ/kg


압력이 20kgf/㎠, 건도가 95%인 습포화증길를 시간당 2000kg을 발생하는 보일러에 매시간 저위발열량이 9750 kcal/kg인 연료 150kg이 공급된다. 이 보일러의 효율%은 얼마인가?(단, 20 kgf/㎠의 포화수 엔탈피는 215.82 kcal/kg, 건포화증기의 엔탈피는 668.5 kcal/kg 이고 , 급수온도는 50℃ 이다.)
습포화증기 엔탈피 h2= h'+(h"-h')x = 215.82 +{(668.5-215.82) × 0.95} = 645.87 kcal/kg


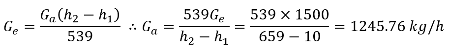
보일러의 상당증발량이 1.5 ton/h, 급수온도가 10 ℃, 발생 증기 엔탈피가 659 kcal/kg일때 실제 증발량 kg/h은 얼마인가?


보일러의 운전 조건이[보기]와 같을 때 물음에 답하시오.[보기] - 급수사용량 : 4000[L/h] - B-C유 소비량 : 300 [L/h] - 급수온도 : 90℃ - 포화증기 엔탈피 : 673.5 [kcal/kg] - 연료 발열량 : 9800 [kcal/kg] - 급수 비체적 : 0.001036[㎥/kg]
- 급유온도 : 65 ℃ - 15 ℃ 의 B-C유 비중 : 0.965
- 온도에 따른 체적 보정계수(k) : 0.9754 - 0.00067( t - 50 )
(1) 시간당 증기 발생량[kg]을 구하시오. : L=0.001㎥

(2) 시간당 연료 소비량[kg]을 구하시오.

(3) 보일러 효율[%]을 구하시오.
