에너지 관리기사
에너지 관리기사 실기 필답유형 [열역학]
크앙7749
2023. 12. 27. 21:50
반응형

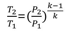
이상기체 단열압축

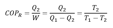
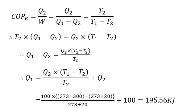
냉동기의 성적계수

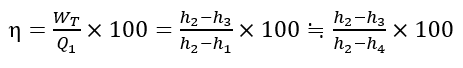
랭킹사이클 펌프일(Wp)을 무시한 이론효율

압축일 Wt

절대일 Wa


기출
25℃, 1atm의 이상기체를 10atm으로 단열압축했을 때의 온도는 몇 ℃인가?


정압비열이 5kcal/kmol.k인 이상기체를 25 ℃, 1atm 상태에서 가역단열과정으로 10atm까지 압축하였을 때 온도는 몇 ℃ 인가?
정적비열 : 기체상수 R=0.082 [L .atm/mol.K] = 1.987 [cal/mol.K] = 1.987 [kcal/kmol.K];['
Cv = Cp - R = 5 - 1.987 = 3.013 [kcal/kmol.K]
비열비 k= Cp/Cv = 5/3.013 = 1.66


300℃ 의 고열원과 20 ℃의 저열원 사이에서 역카르노 역사이클 작동되는 냉동장치에서 전입열량이 100kJ 이라면 고온측에 방출되는 열량KJ은 얼마인가?


이상기체 5kg이 350℃에서 150℃까지 " PV^1.3 = 상수"에 따라 변화하였을 때 엔트로피의 변화량 kJ/K을 계사하시오.(단, 가스의 정적비열은 0.653 kJ/kg.K 이고, 비열비 k=1.4이다.)


랭킨 사이클로 작동하는 증기원동소에서 과열증기 엔탈피 660kcal/kg, 습증기 엔탈피 530kcal/kg, 포화수 엔탈피 80.87 kcal/kg일때 열효율 % 을 계산하시오.


랭킨 사이클에 의한 증기 원동소에서 2.47MPa, 220℃의 과열증기를 50kPa까지 터빈에서 단열 팽창시킬 때 다음 증기표를 이용하여 터빈의 출력kW을 계산하시오.(단, 터빈 출구의 증기 건도는 0.93, 공급되는 증기는 20 ton/h, 압력은 절대압결이다.)
| 절대압력MPa | 엔탈피 kJ/kg | |
| 포화수 | 건포화 증기 | |
| 0.05 | 338.19 | 2642.41 |
| 2.47 | 963.05 | 2800.18 |
=> 터빈 입구의 증기 엔탈피(h2) : 2800.18 kJ/kg
=> 터빈 출구의 증기 엔탈피(h3) : h3 = h' + (h" - h') × X = 338.19 + (2642.41 - 338.19) × 0.93 =2481.11 kJ/kg
1kw = 1kJ/s = 3600kJ/h

728x90
반응형