에너지 관리기사 실기 필답 유형(열전달)


두께가 5mm 이며 열전도율이 56 kcal/m h ℃, 내부온도가 150 ℃, 외부온도가 15 ℃인 벽면에 두께 15mm , 열전도율이 0.05 kcal/m h ℃ 인 단열재를 부착하였더니 외부온도가 10 ℃로 되었을 때 물음에 답하시오.
(1) 벽면 1㎡당 절감되는 열량 kcal/h은 얼마인가?
=> 단열전 손실열량
Q1=K x F x△t1 = 1/(b/λ ) x F x△t 1 = 1/(0.05/56) x 1 x (150-15) = 1512000 kcal /h
=> 단열 후 손실 열량
Q2=K x F x△t2 = 1/(b1/λ1 + b2/λ2 ) x F x△t 2 = 1/ (0.005/56 + 0.015/0.05) x 1 x (150-10) = 466.53 kcal/h
절감되는 열량
Q= Q1-Q2 = 1512000- 466.53 = 1511533.47 kcal/h
(2) 단열효율은 얼마인가?
η : 효율


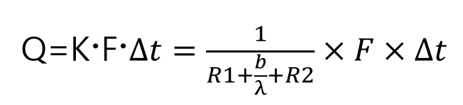
실내온도 20 ℃, 실외온도 10 ℃ 일때 두께 4mm 인 유리를 통한 단위면적 1㎡당 이동열량 W을 구하시오.
(단, 유리의 열전도율은 0.76W/m ℃ 내면과 외면의 열저항은 10 ㎡ ℃/W 이다)



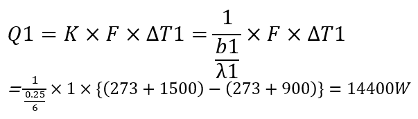
두께 25cm, 열전도율이 6W/mK인 내화벽돌이 노 내부의 1500 ℃에 접하고, 그 외측에 안전사용온도가 900 ℃, 열전도율이 0.65W/mK인 단열재를 시공하여 10 ℃ 외기와 접할 때 단열재 두께는 몇 cm로 시공하여야 하는가?
(단, 외벽 표면의 열전달율은 40W/㎡K이다.)
=> 노 내부에서 내화벽돌 거쳐 단열재 내측면까지 노벽 1 ㎡에 대하여 전달

=> 단열재의 두께 : Q1과 단열재 내면부터 외기까지 전달되는 열량 Q2은 같다.


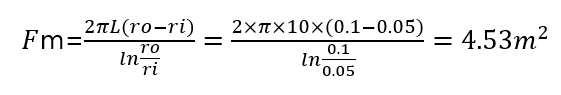
배관 외경이 10mm,길이 10m의 증기관에 두께 50mm의 보온재를 시공하였다. 관 표면온도 150 ℃, 보온재 외부온도 25 ℃일때 보온재에서 단위 시간당 손실열량은 몇 kcal인가?(단, 보온재의 열전도율은 0.03kcal/m.h. ℃이다.)
=> 보온재 외측 반지름 ro 강관 외측 반지름 ri
ro=0.1/2+0.05=0.1 m , ri = 0.1/2=0.05 m
보온관 표면적 (대수평균면적)

방열량


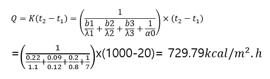
내벽은 내화벽돌로 두께220mm , 열전도율1.1 kcal/m.h. ℃ , 중간벽은 단열벽돌로 두께9cm, 열전도율 0.12 kcal/m.h. ℃, 외벽은 붉은 벽돌로 두께 20cm, 열전도율 0.8 kcal/m.h. ℃로 도이 있는 노벽이 있다. 내벽 표면의 온도가 1000 ℃일때 외벽의 표면온도는 약 몇 ℃인가?(단, 외벽 주위 온도는 20 ℃, 외벽표면의 열전달률은 7 kcal/㎡.h. ℃ 로 한다.)
=> 벽면 1 ㎡ 당 1시간 동안 손실열량

=> 외벽의 표면온도


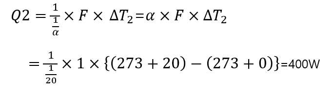
두께 40cm의 벽체로 차단된 곳의 내부온도가 220 ℃, 외부 벽체 표면온도가 20 ℃ , 외부의 대류 열전달률이 20 W/㎡.k 인 경우 0 ℃에 노출되었다. 이 경우 벽체의 열전달율 W/m.K 을 구하시오.
=> 벽체를 통한 열전달량 Q1, 외부 표면에서의 대류에 의한 열전달량 Q2 , Q1=Q2

