반응형

기출
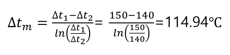
대향류식 공기예열기에 240℃의 배기가스가 들어가서 160 ℃로 나오고, 연소용 공기는 20 ℃로 들어가서 90 ℃로 나올 때 이 공기예열기의 대수 평균 온도차 ℃를 계산하시오.
=> 대향류 고온유체와 저온유체의 흐름이 반대 방향
△t1 = 가열유체 입구온도 - 수열유체 출구온도 = 240 - 90 = 150 ℃
△t2 = 가열유체 출구온도 - 수열유체 입구온도 = 160 - 20 = 140 ℃
평균온도차 계산


안지름 10cm인 원형관에 물이 속도 2 m/s, 20 ℃로 유입되어 80℃로 일정하게 유지되는 곳과 열교환하여 최종적으로 40℃로 나올때 [보기]의 조건을 참고하여 열교환용 배관 길이m를 계산하시오
[보기] - 물의 평균비열 : 4180 J/kg.K - 물의 밀도 : 1000 kg/㎥ - 배관의 열관류율 : 10 kW/㎡K



3) 물을 이용하여 냉각한 열량 Q1
Q1 =m x C x △T = 15.71 x 4.180 x {(273+40)-(273+20)} = 1313.356 KJ/S = 1313.36 KW
4) 열교환용 배관 길이
Q1 = Q2 ∴ Q2 = K x F X △T lm = K x ( π x D x L) x △T lm

728x90
반응형
'에너지 관리기사' 카테고리의 다른 글
| 에너지관리기사 실기 필답유형(TOE) (0) | 2023.12.22 |
|---|---|
| 에너지관리기사 실기 필답유형(대류, 복사) (0) | 2023.12.20 |
| 에너지관리기사 실기 필답유형(증발량) (0) | 2023.12.13 |
| 에너지관리기사 실기 필답유형(공기량, 배기가스량) (0) | 2023.12.07 |
| 에너지 관리기사 실기 필답 유형(열전달) (0) | 2023.11.30 |
댓글